您当前位置: 网站首页 - 通知公告

通知公告

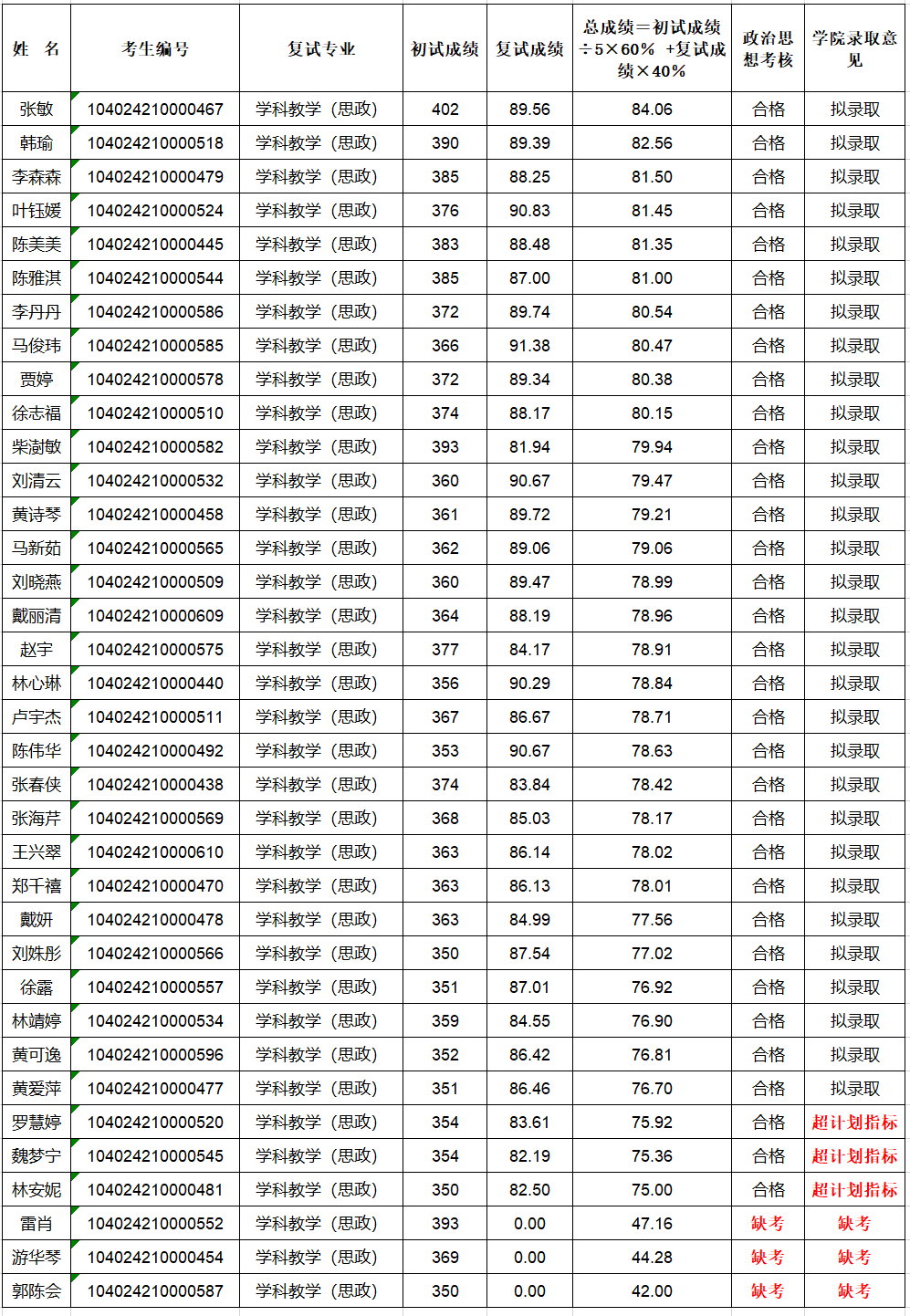
太阳成集团tyc411832024年一志愿复试结果及拟录取情况公示(学科教学(思政)专业)

发布人:太阳成集团tyc41183     发布时间:2024年11月13日   浏览次数:

根据《太阳成集团tyc411832024年硕士研究生复试实施细则》,结合各考生的总成绩及各专业的招生指标,经我院招生复试领导小组研究审议通过,现将复试结果及拟录取情况进行公示,如有拟录取考生放弃录取资格,则按当次总成绩依次递补。公示时间:2024年4月5日-15日。公示期间如有异议,可来电向太阳成集团tyc41183反馈,联系电话:0596-2592282。